Na przykład przyjmujemy strategię polegającą na kupowaniu akcji na wsparciach i sprzedawaniu na oporach, przy założeniu max 4% straty w przypadku przebicia wsparć/oporów. Czyli jeśli kurs przebije te poziomy, stosujemy stop loss 4% poniżej wyznaczonego wsparcia bądź oporu. Zakładam więc możliwość krótkiej sprzedaży. Teraz wszystko zależy od prawdopodobieństwa. Jeśli prawdopodobieństwo odbicia w wyznaczonych poziomach znacznie przewyższa 0,5, wtedy minimalny zysk nie musi zbytnio przeważać na maksymalną stratą, czyli może wynieść ok. 4%. Ale prowizje mogą wymuszać większy zysk. Jeśli szansa kształtuje się wokół 50%, wtedy potencjalny zysk musi odpowiednio kompensować przypadkowe odbicie. W tym przypadku odbicie od wsparcia bądź oporu musi być odpowiednio duże. Niezależnie od prawdopodobieństwa, wartość oczekiwana zysku musi pozostać dodatnia, po ujęciu prowizji.
Kupując walory o wartości K(1), ponosimy dodatkowy koszt prowizji w wysokości x, czyli wartość K(1) wraz z prowizją wynosi:

Sprzedając walory o wartości K(2), ponosimy znów koszt x, co oznacza po prostu zmniejszenie K(2):

Wiemy, że stopa zwrotu po potrąceniu prowizji r(x) jest dana wzorem:

Przekształcając dostajemy:

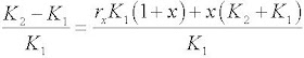
Podzielmy obie strony przez K(1)

Jak widać jest to pierwotna stopa zwrotu bez odjęcia prowizji:

Zauważmy, że:

Czyli podstawiając mamy:

I odpowiednio przekształcając

otrzymujemy wzór na stopę zwrotu po potrąceniu prowizji:

Jak widzimy stopa zwrotu po potrąceniu prowizji jest stopą zwrotu bez prowizji minus dwie prowizje razy pewien współczynnik.
Wróćmy zatem do naszego poprzedniego problemu. Założyliśmy SL na poziomie 4%, czyli podstawiamy -4% do wzoru. Prowizję możemy ustalić na poziomie 0,39%:

Faktyczna strata wyniesie więc nie 4%, a 4,74%. Stąd wiadomo, że oczekiwany zysk musi wynieść także więcej niż założona strata 4%. Jak mówiłem wszystko teraz zależy od prawdopodobieństwa.
Załóżmy, że prawdopodobieństwo odbicia wynosi 0,5. Myślę, że w takiej sytuacji potrzeba przynajmniej 6% zysku, aby przeważyć potencjalną stratę 4,74%. Sprawdźmy więc jaką stopę bez prowizji musimy ustalić, aby stopa już po prowizji wyniosła 6%. Aby tego dokonać, należy przekształcić nasz wzór na wzór stopy bez prowizji r. Okazuje się, że jest on analogiczny do poprzedniego, tylko pozamieniane są w dwóch miejscach znaki:

Podstawiając do niego dane dostajemy

A zatem w kategoriach bezprowizyjnych pomimo maksymalnej straty 4%, nasz minimalny potencjalny zysk musi wynieść min. 6,83%. Czyli przewaga zysku nad stratą musi wynieść nieco mniej niż 3%.
Aby w pełni zobaczyć czego możemy oczekiwać po strategii, obliczamy wartość oczekiwaną zysku:
0.5*(-4.74%) + 0.5*6% = 0.63%
Czyli bardzo malutko. Można mieć wątpliwości czy strategia w ogóle pokona zysk w oparciu o metodę pasywną.
Warto zwrócić uwagę, że oczekiwany zysk w kategoriach bezprowizyjnych jest dużo ładniejszy:
0.5*(-4%) + 0.5*6.83% = 1.415%
ale niestety jest fałszywy.
W przypadku, gdy prawdopodobieństwo wynosi 0.7, możemy spokojnie wymagać zysku równego stracie, tj. 4,74%. Wtedy bowiem oczekiwany zysk wynosi:
0.3*(-4.74%) + 0,7*4.74% = 1.9%.
Większe prawdopodobieństwo znacznie poprawiło wynik.
Uwaga: Uogólniony wzór na stopę po potrąceniu kosztów transakcyjnych, który uwzględnia wszystkie transakcje jakich dokonaliśmy w trakcie dowolnego okresu, wyprowadziłem w późniejszym artykule:
Weź pod uwagę, że prowizja zależy od brokera (przynajmniej w USA, u nas wszyscy drodzy) a na NASDAQ (i nie tylko) prowizje są ujemne przy tworzeniu płynności.
OdpowiedzUsuń